K vypracování
do 26. 6.
Dokončete, co jste nestihli, vraťte se k tomu, kde jste váhali nebo si nebyli jistí. Poznamenejte si, co si myslíte, že bude potřeba v září projít, k čemu se vrátit. Pečlivě si schovejte sešit alespoň do toho září, abyste se mohli alespoň na začátku do sešitu podívat.
Děkuji za spolupráci a přeju vám všem krásné prázdniny.
do 19. 6.
Přímá a nepřímá úměrnost
U každé úlohy urči, jestli jde o přímou nebo nepřímou úměrnost, potom vyřeš.
Kontrola zde.
do 12. 6.
Nepřímá úměrnost

uč. str. 195/2 - do sešitu (kontrola uč. str. 284/7.6/2), podobný příklad v úvodním videu 15:55 - 18:25
PS2 str. 162/5
Graf nepřímé úměrnosti
uč. str. 194 nebo video (do 2:50 opakování nepřímé úměrnosti - koeficient, rovnice, tabulka, od 2:50 graf nepřímé úměrnosti) nebo video (6:00 - 8:00 rýsování grafu přímo k úloze z úvodního videa)
PS2 str. 161/1, 2 (x si zvolíš, y vypočítáš z rovnice)
PS2 str. 162/3, 4
Užití přímé úměrnosti - slovní úlohy
video (0:00 - 5:10 vysvětlení, od 5:10 2 řešené příklady - po napsání zápisu opsat zadání do sešitu, samostatně vyřešit, zkontrolovat podle videa)
zápis:

video (3 řešené příklady) - opsat zadání do sešitu, samostatně vyřešit, zkontrolovat podle videa
uč. str. 197/5, 6 - do sešitu (kontrola uč. str. 284/7.6/5, 6)
PS3 str. 166/3, 4, 167/7, 168/11, 169/12, 14
online procvičování
V systému Umime matiku 3 cvičení na nástěnce.
výroky o poměrech a úměrnostech


video (5:30 - 10:20 řešené 2 příklady) - opsat zadání do sešitu, samostatně vyřešit, zkontrolovat podle videa
video (8:25 - 14:45 řešené 3 příklady) - opsat zadání do sešitu, samostatně vyřešit, zkontrolovat podle videa
Ve videích jsou různé způsoby přepsání zápisů do matematického zápisu pro výpočet neznámé hodnoty. Je na každém, který způsob si vybere a bude používat.
uč. str. 193/5, 6 - do sešitu (kontrola uč. str. 284/7,5/5, 6)
PS3 str. 166/1, 2, 167/5, 6, 8, 168/9, 10, 169/13 - kontrola formou testu
online procvičování
do 29. 5.
Poměr
Upravení poměru na základní tvar
video (9:15 - 10:30 poměr zadaný ve zlomcích)
PS2 str. 152/11 (kontrola zde)
Postupný poměr
video (jak spojit dva jednoduché poměry v jeden postupný, slovensky)
PS2 str. 153 (kontrola zde)
Zvětšování a zmenšování čísla v daném poměru
video (0:00 - 7:40)
uč. str. 181 - tabulku přepsat do sešitu (není potřeba rýsovat tabulku)
uč. str. 182/2 - do sešitu (kontrola uč. str. 284/7.2/2)
PS2 str. 152/12, 13, 14 (kontrola formou testu)
Měřítko mapy
uč. str. 183 - 186
video 1 (0:00 - 2:10 vysvětlení, potom řešené příklady) nebo video 2 (0:00 - 3:20 vysvětlení, potom řešené příklady)
zápis:

PS3 str. 173, 174 (kontrola zde)
- video 1 v 2:20 - 4:05 nebo video 2 v 3:40 - 6:55 str. 173/4, 5, 7 a 174/8, 10
- video 1 v 5:50 - 8:15 nebo video 2 v 7:05 - 9:45 str. 173/6 a 174/9
- video 1 v 9:30 - 11:00 nebo video 2 v 10:00 - 12:30 str. 174/11, 12
Rozdělování v daném poměru
uč. str. 187 - 188
video (0:00 - 2:10 vysvětlení, potom řešené příklady, v čase 5:10 řešení pro postupný poměr)
zápis:
Rozdělování v daném poměru
1) sečteme hodnoty členů v poměru (např. máme rozdělit 35 v poměru 3 : 4, sečteme 3 + 4 = 7, dělíme tedy na 7 dílů)
2) vydělíme dané číslo (počet nebo množství něčeho) počtem dílů (máme rozdělit 35, takže
35 : 7 = 5, jeden díl je 5)
3) vynásobíme tímto číslem čísla v poměru (3 . 5 = 15, 4 . 5 = 20, takže rozdělit 35 v poměru
3 : 4 znamená rozdělit 35 na 15 a 20)
PS2 str. 152/10 a 154/18 a 19 (kontrola zde)
online procvičování:
rozdělování v daném poměru - postupný poměr
do 22. 5.
Početní operace s racionálními čísly
Lichoběžník
Výpočty
PS3 str. 191/6
PS3 str. 192/9, 10
Konstrukce lichoběžníků
uč. str. 229 - 232
Pro následující úlohy na videu nebo v učebnici dodržujte:
každý den 1 - 2 úlohy
do sešitu zezadu
podívat se na video, potom opsat zadání, samostatně
vyřešit a zkontrolovat podle videa
opsat zadání z učebnice, samostatně vyřešit,
zkontrolovat podle učebnice
u neřešených úloh zkontrolovat podle vzorové úlohy nebo
mi poslat na zkontrolování
i když na videu není, vždy dělat náčrtek a zapsat počet
řešení
zadané 3 strany a výška
video (2:45 - 8:40)
pravoúhlý lichoběžník, dvě strany a úhlopříčka
video (3:35 - 7:45)
uč. str. 232/7b (neřešená)
zadané 3 strany a úhel
PS3 str. 190/3
rovnoramenný lichoběžník, zadané 2 strany a úhel (nápověda: když je rovnoramenný, známe více údajů, úhly při základnách jsou stejné, ramena jsou stejně dlouhá)
video (bez náčrtku a komentáře)
rovnoramenný lichoběžník, zadané dvě strany a úhlopříčka (nápověda: když je rovnoramenný, tak víme ještě o jeden údaj navíc, úloha je pak podobná, jako když máme zadané 3 strany a úhlopříčku)
PS3 str. 191/7
online procvičování
lichoběžník vlastnosti
Poměr
uč. str. 178 - 189
video 1 poměr jako vztah dvou veličin
video 2 základní pojmy
video 3 poměr, rozšiřování, krácení
video 4 základní pojmy, krácení a rozšiřování poměru (hezky vysvětlené, ale s mírnou ozvěnou, 4:25 - 5:55 krácení poměru, 5:55 - 10:55 rozšiřování poměru, 10:55 - 11:30 řešené příklady - zastavit video, samostatně vyřešit, zkontrolovat)
video postupný poměr, jeho krácení a rozšiřování
zápis:

PS2 str. 150 a 151 (kontrola některých cvičení formou testu)
doplnění čísla v poměru (na základě krácení nebo rozšiřování) - jako u zlomků
video (8:45 - 10:10 jak postupovat u postupného poměru)
uč. str. 180/8 do sešitu (kontrola uč. str. 284/7.1/8)
online procvičování
do 15. 5.
Početní operace s racionálními čísly
Geometrická symbolika
Čtyřúhelníky a další mnohoúhelníky
online cvičení:
čtyřúhelníky - možnosti konstrukce
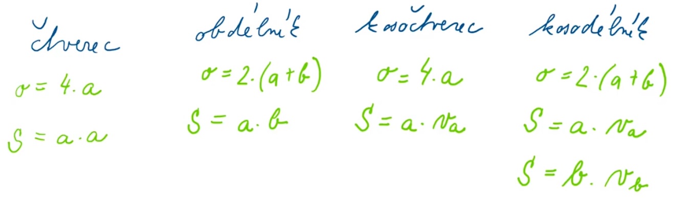
kosočtverec a kosodélník - shrnutí
Obvod a obsah rovnoběžníků
PS3 str. 184/2 - 5 a 185/6, 7 (kontrola formou testu)
Obsah trojúhelníku
PS3 str. 187/1, 2
PS3 str. 187/3, 188/4, 5 (kontrola formou testu)
Lichoběžník
video lichoběžník a jeho vlastnosti, výpočet obvodu a obsahu
uč. str. 223 - 226 a 228 - 229
zápis (do sešitu zezadu, nejlépe samostatně podle videa, zkontrolovat a případně doplnit je možné zde)
Výpočty
úhly
PS3 str. 191/8
obvod
PS3 str. 190/1
online cvičení
video jak vypočítat obsah (vysvětlení přes trojúhelník)
uč. str. 227/6 (kontrola zde)
PS3 str. 190/2 a 191/5 (kontrola formou testu)
online cvičení
cvičení na čtverečkovaný papír (kontrola zde)

Konstrukce lichoběžníků
uč. str. 229 - 232
Pro následující úlohy na videu nebo v učebnici dodržujte:
každý den 1 - 2 úlohy
do sešitu zezadu
podívat se na video, potom opsat zadání, samostatně
vyřešit a zkontrolovat podle videa
opsat zadání z učebnice, samostatně vyřešit,
zkontrolovat podle učebnice
u neřešených úloh zkontrolovat podle vzorové úlohy nebo
mi poslat na zkontrolování
i když na videu není, vždy dělat náčrtek a zapsat počet
řešení
zadané 3 strany a úhlopříčka
video (0:00 - 4:55)
video (řešená úloha bez náčrtku a komentáře)
video (řešená úloha bez náčrtku a komentáře)
uč. str. 229/dole
PS3 str. 190/4 (neřešená)
zadané 2 strany a 2 úhly
video (řešená úloha bez náčrtku a komentáře)
online procvičování na Umíme (připnuto na nástěnce v online
třídě):
středová souměrnost
geometrické konstrukce - značení
konstrukční úlohy lehké a střední
obvod trojúhelníků a čtyřúhelníků
obsah trojúhelníků a čtyřúhelníků
úhly ve čtyřúhelníku
Sebehodnocení
Prosím všechny o vyplnění sebehodnocení, buď přímo v PC (doc), nebo po vytištění ručně (pdf), a zaslání emailem (vyplněný dokument nebo fotografii vyplněného dokumentu). Pokud není možné ani jedno, prosím alespoň o textovou zprávu s informací, jak se komu daří v učení. Děkuji.
do 7. 5.
Online procvičování
Početní operace s racionálními čísly
Konstrukce trojúhelníka - zápisy 1
Konstrukce trojúhelníka - zápisy 2
Konstrukce trojúhelníka - zápisy 3
Obvod a obsah rovnoběžníků
video - obvod a obsah
video - obsah
uč. str. 213 a 215 (k pročtení)
zápis:
Obvod a obsah rovnoběžníků
uč. str. 215/modrý rámeček a obrázek nad cv. 1

uč. str. 214/13, 15 a 215/19 - do sešitu (kontrola podle výsledků uč. str. 285/8.4/13, 15, 19)
Obsah trojúhelníku
uč. str. 217 (k pročtení)
zápis:
Obsah trojúhelníku
uč. str. 217/modrý rámeček
uč. str. 217/1 - do sešitu (kontrola podle výsledků uč. str. 285/8.5/1)
uč. str. 218/3 - do sešitu (kontrola zde)
do sešitu:
Rozhodni, které trojúhelníky mají stejný obsah a uveď proč. (kontrola zde)

Dopň tabulky (kontrola zde).

do 30. 4.
Využití vlastností rovnoběžníků v konstrukčních úlohách
zadané dvě vedlejší strany a
úhlopříčka
uč. str. 222/2 (úloha řešená využitím rovnoběžnosti protějších stran) - opsat si do sešitu zadání, samostatně vyřešit, zkontrolovat podle učebnice
uč. str. 223/4b - zvolte si způsob, který využijete
zadané dvě vedlejší strany a úhel
PS3 str. 181/5 - využijte řešení pomocí středové souměrnosti
uč. str. 223/4a - zvolte si způsob, který využijete
U následujících úloh se opět nejprve podívejte na videa nebo záznam řešení úlohy v odkazech, tentokrát na všechny způsoby řešení najednou (u některých úloh už je uvedený jen jeden způsob). Potom si napište zadání podle videa a video zastavte. Udělejte si náčrtek, vyznačte známé údaje, vyberte si jeden způsob řešení, vypracujte rozbor a zápis konstrukce, narýsujte, zapište počet řešení, potom znovu pusťte video a zkontrolujte si, případně opravte chyby.
zadaná strana, úhlopříčka, úhel - jedna z možností do sešitu
využití
shodnosti délek protějších stran
využití rovnoběžnosti
protějších stran (4:13 - 12:40)
využití shodnosti délek
protějších stran (4:13 - 7:00 + 12:55 - 15:45)
kosočtverec - zadány úhlopříčky
zadání uč. str. 223/6e, řešení na videu (15:45 - 21:55) - do sešitu
PS3 str. 182/9
Výška rovnoběžníka
uč. str. 212/modrý rámeček - opsat do sešitu
uč. str. 212/8 - přerýsovat na čtverečkovaný papír, vyznačit
výšky va a vb
PS3 str. 181/6
konstrukce přes výšku
video - podívat se na video, opsat zadání, zastavit video, vyřešit samostatně, zkontrolovat podle videa
uč. str. 221/1 - vyřešit samostatně, zkontrolovat podle
učebnice
uč. str. 223/4c - do sešitu
PS3 str. 182/8
Obvod rovnoběžníka
PS3 str. 180/2, 3
do 24. 4.
Racionální čísla
Doplňte do čtverce čísla tak, aby se čísla ve čtverci neopakovala a součet čísel v řádcích, sloupcích a úhlopříčkách byl stejný. Ve čtverci mohou být čísla celá, desetinná i zlomky.

Kontrola zde.
Trojúhelník
řešené úlohy - otevřete si odkaz, opište zadání úlohy, úlohu vyřešte do sešitu (náčrtek + rozbor, postup konstrukce, konstrukce, počet řešení) a potom zkontrolujte tak, že překliknete pomocí tlačítka ǀ<< na první snímek a pomocí tlačítka >> prohlédnete jednotlivé kroky úlohy nebo pustíte celou úlohu pomocí tlačítka > (možná bude přepnuté na ǀǀ, je vedle rámečku s číslem, kterým se mění rychlost přepínání mezi snímky)
Středová souměrnost
PS1 str. 80/6, 7, 8 a 81/9, 10
PS3 str. 181/7
Čtyřúhelníky
video (0:00 - 3:00 druhy a rozdělení, 3:00 - 4:05 vlastnosti)
zápis (zezadu do sešitu):


uč. str. 202 - 210/modré rámečky (kromě strany 205 a 209) - připsat k jednotlivým obrazcům jejich vlastnosti (buď přímo do obrázku, nebo psát postupně názvy a k nim připisovat vlastnosti)
uč. str. 204/6 - do sešitu (kontrola uč. str. 285/8.1/6)
Rovnoběžníky
video 1 (0:20 - 4:10) a video 2 (4:05 - 6:50) - vlastnosti rovnoběžníků
zápis:
Rovnoběžníky
uč. str. 205/modrý rámeček -
přepsat do sešitu
uč. str. 209/horní tabulka -
přepsat do sešitu
uč. str. 205/4a, 5 - do sešitu, udělat náčrtky, kontrola zde
uč. str. 209/10 - do sešitu, kontrola zde
PS3 str. 180/1, 4
Online procvičování v záložce Procvičování.
V záložce Testy je test na pojmenování a vlastnosti čtyřúhelníků.
Využití vlastností rovnoběžníků v konstrukčních úlohách
V této části budou uvedené různé typy úloh řešené několika způsoby. Pro naučení budete vypracovávat (zápis konstrukce i rýsování) každou úlohu všemi způsoby, později už si budete vybírat, kterým způsobem budete tu kterou úlohu řešit.
Nejprve se podívejte na video (většinou velmi krátké a rychlé, takže možná bude potřeba zastavovat a opakovat). Potom si napište zadání podle videa a video zastavte. Udělejte si náčetek, vyznačte známé údaje, vypracujte rozbor a zápis konstrukce, narýsujte, zapište počet řešení, potom znovu pusťe video a zkontrolujte si, případně opravte chyby.
Nedělejte vše najednou, nejlépe každý den buď jedno zadání a tři způsoby řešení, nebo od každého zadání jeden způsob řešení.
1) zadané
dvě vedlejší strany a úhlopříčka
využití
shodnosti délek protějších stran
využití
středové souměrnosti
využití rovnoběžnosti protějších
stran
2) zadané dvě vedlejší strany a úhel
využití
shodnosti délek protějších stran
využití
středové souměrnosti
využití rovnoběžnosti protějších
stran
3) zadaná jedna strana a dva úhly
využití
shodnosti délek protějších stran
využití
středové souměrnosti
využití rovnoběžnosti protějších
stran
do 17. 4.
Racionální čísla
Doplňte do čtverce čísla tak, aby se čísla ve čtverci
neopakovala a součet čísel v řádcích, sloupcích a úhlopříčkách byl stejný. Ve čtverci mohou být čísla celá, desetinná i zlomky.

Kontrola zde.
Geometrie
Středová souměrnostPustit si video Středová souměrnost nebo přečíst v učebnici str. 153 - 154.
Do sešitu (zezadu do části G) udělat zápis podle obrázku z videa (nakreslit jednodušší obrázek, dodržet středovou souměrnost).


Zde je možné si vyzkoušet, jak se mění středově souměrný obraze, když měníme polohu obrazce nebo jeho jednotlivých částí.
Podle videa do sešitu zobrazit ve středové souměrnosti:
bod
úsečku
polopřímku
přímku
PS1 str. 77/1, 78/2, 79/3, 4, 5 - kdo bude chtít zkontrolovat, zašle vyfocené stránky na zvarovai@zscercany.cz
V záložce Procvičování jsou odkazy na online cvičení.
do 8. 4.
Racionální čísla

Kontrola zde.
Geometrie
Konstrukce trojúhelníku
Zobrazení, shodná zobrazení, osová souměrnost (opakování ze 6. ročníku, pro připomenutí)
Přečíst si následující text (Zobrazení v geometrii) a pustit si video Osová souměrnost.

Do sešitu (zezadu do části G) udělat zápis podle obrázku z videa (místo obrázku lodě nakreslit jednodušší obrázek, dodržet osovou souměrnost).

Podle videa narýsovat do sešitu obraz trojúhelníku (čas 4:05) a kružnice (čas 10:55) v osové souměrnosti.
do 3. 4.
Racionální čísla
uč. str. 149/4, 5, 151/3, 4 - do sešitu (zepředu), zápis, výpočet, odpověď
PS2 str. 142/13, 14 - zápis, výpočet, odpověď
PS2 str.
145 - 147 - kdo bude chtít zkontrolovat, zašle vyfocené stránky na zvarovai@zscercany.cz
Geometrie
Konstrukce trojúhelníku
uč. str. 104 dole a 105 nahoře (typy konstrukčních úloh na konstrukci trojúhelníku) - přečíst
uč. str. 105/modrý rámeček - přepsat do sešitu (do části G, zezadu)
podívat se na videa Konstrukce trojúhelníku sss, Konstrukce trojúhelníku sus, Konstrukce trojúhelníku usu
potom každé video zastavit na zadání konstrukční úlohy (časy: sss
3:30, sus 4:20, usu 3:23) a samostatně konstrukční úlohu vyřešit do sešitu zezadu (náčrtek, zápis,
konstrukce, počet řešení), zkontrolovat si podle videa
uč. str. 105/3, 110/8, 112/15 - nejprve samostatně vyřešit, potom kontrola podle učebnice str. 106 - 108, 110, 112 (náčrtek + rozbor) a v přiloženém souboru (postup, konstrukce a počet řešení)
test Matematické symboly - kdo ještě nezkoušel nebo kdo chce zkusit znovu
do 27. 3.
Racionální čísla
uč. str. 141 - 148 - přečíst a zepředu do sešitu vypsat poznámky u značky "zapamatujte si" (hlava s nápisem)
podívat se na videa v záložce Výuka, zkusit si samostatně vypočítat řešené příklady z videí
PS2 str. 135 - 137 (k uč. str. 141)
PS2 str. 142/12 (k uč. str. 142)
PS2 str. 139 - 141 (k uč. str. 147 a 148)
Výsledky některých cvičení budou k dispozici ke kontrole formou testů. U ostatních je možné si příští týden napsat o výsledky nebo o pomoc s řešením. V případě žádosti o pomoc je potřeba zaslat vyfocené vlastní řešení.
Geometrie
do sešitu zezadu: uč. str. 101 - 103 přepsat tabulky 1 a 4
vytvořit pomůcku (např. pexeso), která bude sloužit k naučení a procvičení pojmů a značek (zápisů), značky (zápisy) se naučit číst
do sešitu zezadu vypracovat uč. str. 102/2, 3 a 103/6, 7
do 20. 3.
Zlomky
Zlomek <=> desetinné číslo
PS1 str. 55 - 56 (kdo nemá)
PS2 str. 87/4, 104/2, 103/5, 105/5
Číselná osa
PS1 str. 64/11, 65/15, 67/5, 68/7, 69/12, 70/14 (kdo nemá)
Krácení a rozšiřování zlomků
PS2 str. 104/3, 4
Porovnávání zlomků
PS1 str. 58 - 60 (kdo nemá)
Sčítání a odčítání zlomků
PS1 str. 61 - 64, 66 - 68, 70/15 (kdo nemá)
Smíšená čísla
PS2 str. 87/6, 104/1
Násobení zlomků
PS2 str. 86, 87/5, 7, 88 - 90 (kdo nemá), 105/6, 7
Dělení zlomků
PS2 str. 94, 106/8, 10
Složené zlomky
PS2 str. 101 - 103, 106/9
Shodnost trojúhelníků
do sešitu zezadu
uč. str. 95/10
uč. str. 98/3 (s pomocí uč. str. 97)
uč. str. 99/4, 5, 6, 100/7, 8, 9, 97/2
Celá čísla
zopakovat si celá čísla a početní operace s nimi (učebnice str. 116 - 140, PS2 str. 111 - 133, k procvičení možno využít všechna nedoplněná cvičení, výsledky jednotlivých cvičení pro kontrolu mohu zaslat rodičům na vyžádání e-mailem)